カブドットコム証券でANA株主優待券をノーリスクでゲット!
さてマイラーズ!読者の皆さま、カブドットコム証券での口座開設は完了しましたでしょうか?では次にANA株主優待券をノーリスクで1枚当たり400円でゲットするために、作戦を立てていきましょう。
口座を開設していない方は以下の記事をご参照ください。今からだと9月の優待権利取りには間に合うかな・・・無理かもしれません。
ターゲットとする枚数と取得コストを考える
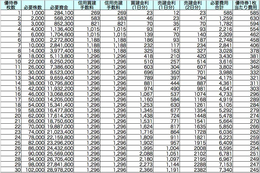
ANA株主優待券の目標枚数は、以下の表の必要資金を参考に決めてください。なお必要な資金は下記表の「必要資金」と「必要費用合計」の合計金額と考えてください。さらに下記表は2016年9月9日のANA株の終値284.1円をベースに算出しております。もし取引を行うときにこの金額より高くなっていれば、「必要資金」及び「必要費用合計」は変動します。(「必要資金」は株価×必要枚数、そして必要資金によって「信用買建手数料」「信用売建手数料」は変動する)
・カブドットコム証券でのANA株主優待券クロス取引費用試算表(2016年9月9日版)

ちなみに私は今年の3月行った時と同様に、ANA株主優待券10枚を狙います。準備資金は700万円!
いかに権利付き最終日ぎりぎりで仕込むかが勝負どころ!
ではカブドットコム証券でANA株をクロス取引すれば、上記試算表の「必要費用合計」だけでANA株主優待券をゲットできるのでしょうか?
答えはNo!です。ノーリスクとはいえ、これは株式取引。相場の世界はそんなに甘くありません。上記の試算表は「最も上手くクロス取引をした場合」の試算なのです。端的に申し上げると「権利付き最終日にクロス取引を行った場合の試算表」です。
「じゃあ権利付き最終日にクロス取引すればいいじゃん。」という声が聞こえそうです。
答えはYes!です。しかし・・・そんなに甘くはありません。
クロス取引は「現物の買い」と「一般信用の売建」を同値・同数行う必要があります。しかし「一般信用の売建」をするには、カブドットコム証券が持っている在庫株の数しか売建できないのです。ちなみに今日現在(2016年9月11日)は在庫はいくつ残っているのでしょうか。

「0枚」でした。今日現在、ANA株を一般信用で売建することはできません。お疲れ様でした・・・とここで諦めてはいけません。
カブドットコム証券では、一般信用売建の在庫は営業日の19時前後に補充されます。
しかし!安心してはいけません。私の経験上、一般信用の在庫は権利付き最終日に近づく度に補充される在庫が少なくなり、しかも仕込みたい人が増えて行くので、抽選もしくは早い者勝ちの勝負となります。
なので確実にクロス取引を行ってANA株主優待券をゲットしたい場合には、早め早めに仕込むことも求められるのです。
では早めに仕込むデメリットは何でしょうか?それは「早めに仕込めば仕込むほど必要費用がかさむ」ということです。
では上記の試算表でどこが変わるかというと「売建金利(2日分)」という列です。
「必要費用合計」は「信用買建手数料」「信用売建手数料」「買建金利(1日分)」「売建金利(2日分)」の合計です。
早めに仕込む場合の試算は、「仕込んだ日を含めて権利付き最終日の翌日までの日数」を出してください(土日祝日含む)。そしてその日数に「売建金利(1日分)」をかけて、「売建金利(2日分)」に置き換え、必要費用合計を算出してみてください。
【例:2016年9月12日に10枚分を仕込んだ場合】
9月12日から9月28日までの日数:17日
1,296円+1,296円+510円+(257円×17日=4,367円)=必要費用合計7,469円
優待券1枚当たり費用:747円
最短で仕込むのと比べると、ずっと割高になってしまいました。
以上、ANA株主優待券を格安でゲットするためには「仕込むタイミングと費用のバランス」が勝負どころなのです。
一般信用売建在庫の見方
一般信用売建をするための在庫数は以下の操作で行ってください。まずカブドットコム証券のトップページ「お取引」タブをクリックし、その下のタブ「信用」をクリックします。
そして「銘柄検索」で9202といれて検索してください。すると、ANAの信用取引画面が表示されます。下記矢印のところに在庫数が表示されます。潤沢に在庫がある場合には、この在庫数は表示されません。
カブドットコム証券のキャンペーンで10枚@300円以下に挑戦!
カブドットコム証券では2016年9月13日〜9月20日の5営業日限定で、kabuステーション経由による信用新規建手数料実質無料キャンペーンが行われます。
これを行うには、kabuステーション(有料サービスですが、信用口座を開設すれば無料)の利用申し込みが必要です。私も使った事がないので申し込みをしてみたいと思います。
では、このキャンペーンを使って9月20日に10枚分を仕込んだ場合、どのような試算になるのでしょうか。
【例:2016年9月20日に10枚分を仕込んだ場合(キャンペーン利用)】
9月20日から9月28日までの日数:9日
無料+無料+510円+(257円×9日=2,312円)=必要費用合計2,822円
優待券1枚当たり費用:282円
なんと1枚当たり300円を切った価格で仕込むことができることになります。
さあ、準備はよろしいですか?ターゲットの枚数を決めたら必要な金額を算出して、早めにカブドットコム証券に入金しておきましょう。


